リッカチ の 微分 方程式

微分方程式 dv dt av 2 2auv au 2 vはtの関数 a uは定数 この微分方程式の解き方を教えていただけないでしょうか おそらくリッカチ型の微分方程式ではないかと思うのですが どのような変換をしてベルヌ.
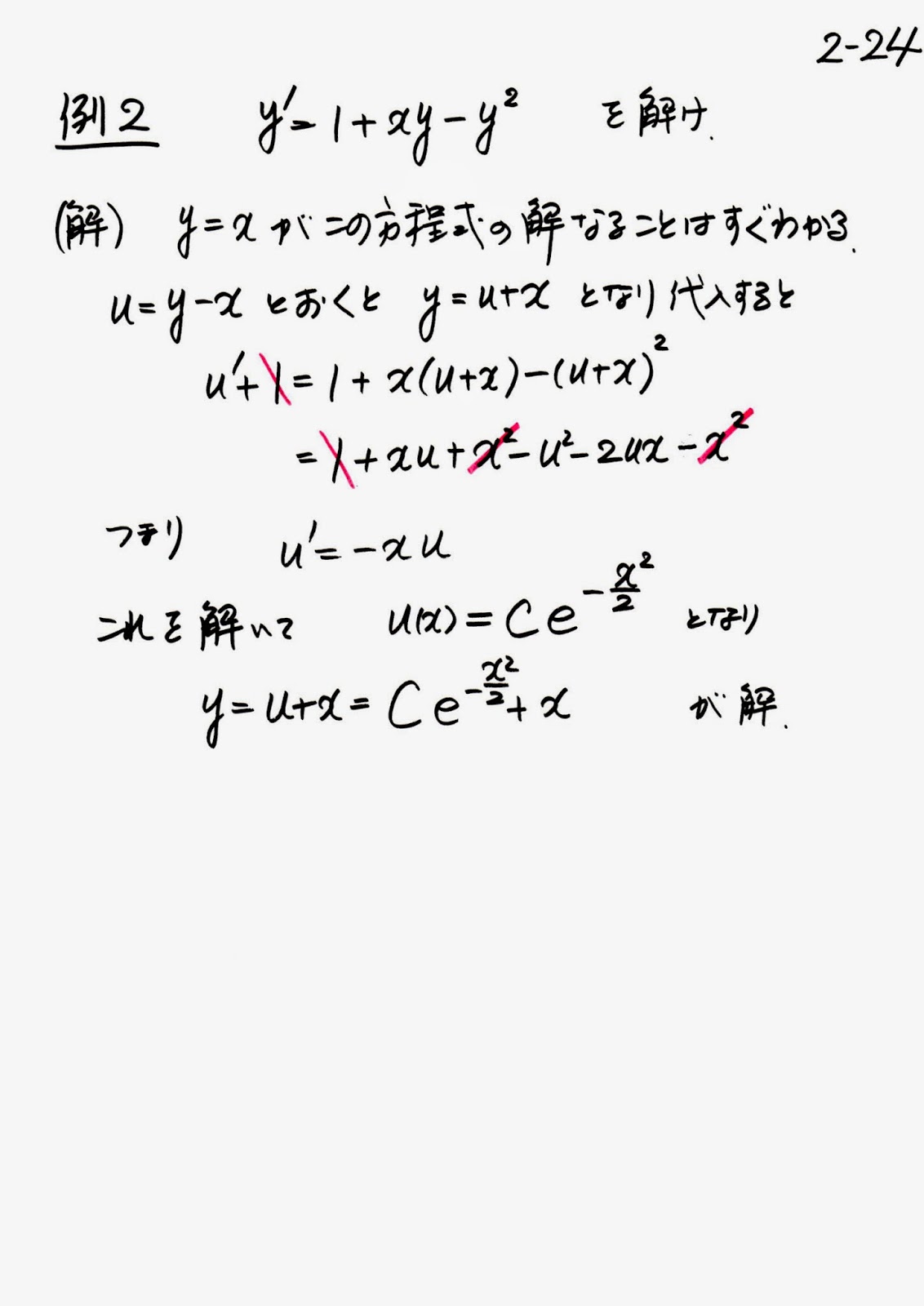
リッカチ の 微分 方程式. リッカチの微分方程式は特殊解が1つでも分かれば一般解を導くことができます 例えば の特殊解がy0だった場合 一般解をy y0 uとするとy y0 u であるから に代入すると. P x y 2 q x y r x 0 1. 自励系のリッカチ方程式 dy dt 1 4 y y 2 t 0 の初期条件 t 0のとき y 1 を満たす解をy t とする このとき lim y t が収束すれば その値を求めよ t の解き方を教えてください よろしくお願いします 個人的な思いとし. Riccati s differential equation は 非線形1階常微分方程式の1つである ヤコポ リッカチが考察した微分方程式である リッカチ微分方程式ということもある リッカチの微分方程式は解が動く真性特異点を持たない1階の常微分方程式.
Source : pinterest.com