同時 確率 密度 関数





15 5 2変数の確率分布 統計学の時間 統計web

15 5 2変数の確率分布 統計学の時間 統計web

同時確率密度関数の係数を求める問題です 添付のノートのところまで 統計学 教えて Goo

同時確率密度関数の係数を求める問題です 添付のノートのところまで 統計学 教えて Goo

同時密度関数 同時確率密度関数 日経クロステック Xtech

同時密度関数 同時確率密度関数 日経クロステック Xtech

同時分布 周辺分布 条件付き分布の意味と例 具体例で学ぶ数学

同時分布 周辺分布 条件付き分布の意味と例 具体例で学ぶ数学

2変量正規分布の結合確立密度関数を分解する問題がわかりません 情報処理に関する質問 勉強質問サイト

2変量正規分布の結合確立密度関数を分解する問題がわかりません 情報処理に関する質問 勉強質問サイト

11 確率モデル 確率 不確実性の経済学や金融やファイナンス で重要 密度関数がある場合に期待値を取る計算を中心に 紹介 Ppt Download

11 確率モデル 確率 不確実性の経済学や金融やファイナンス で重要 密度関数がある場合に期待値を取る計算を中心に 紹介 Ppt Download

11 確率モデル 確率 不確実性の経済学や金融やファイナンス で重要 密度関数がある場合に期待値を取る計算を中心に 紹介 Ppt Download

同時分布 高校物理の備忘録

同時分布 高校物理の備忘録

確率密度関数 Wikipedia

確率密度関数 Wikipedia

確率変数の和 合成積との関係 初級mathマニアの寝言

確率変数の和 合成積との関係 初級mathマニアの寝言

確率変数 確率分布 確率密度関数とは 制御工学の基礎あれこれ

確率変数 確率分布 確率密度関数とは 制御工学の基礎あれこれ

同時確率密度関数のヤコビアン Okwave

同時確率密度関数のヤコビアン Okwave

確率密度関数 数学 大学 に関する質問 勉強質問サイト

確率密度関数 数学 大学 に関する質問 勉強質問サイト

確率密度関数 変数変換

確率密度関数 変数変換

確率変数 確率分布 確率密度関数とは 制御工学の基礎あれこれ

確率変数 確率分布 確率密度関数とは 制御工学の基礎あれこれ

同時確率分布の問題を教えてください 1 定数aを求めよ 2 周辺密度関数f Yahoo 知恵袋

同時確率分布の問題を教えてください 1 定数aを求めよ 2 周辺密度関数f Yahoo 知恵袋

Https Www Rs Noda Tus Ac Jp Skimura Appmath3 Appmathiii 4 Pdf

Https Www Rs Noda Tus Ac Jp Skimura Appmath3 Appmathiii 4 Pdf

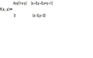
同時確率密度関数の問題です はどうとけばいいのでしょうか 場合分 統計学 教えて Goo

同時確率密度関数の問題です はどうとけばいいのでしょうか 場合分 統計学 教えて Goo

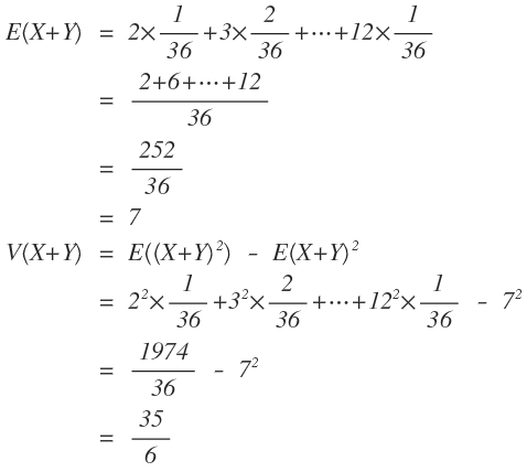
りんだろぐ Rindalog 同時確率分布の期待値と分散の算出法

りんだろぐ Rindalog 同時確率分布の期待値と分散の算出法

統計数理 石川顕一 10 17 組み合わせと確率 10 24 確率変数と確率分布 10 31 代表的な確率分布 Ppt Download

統計数理 石川顕一 10 17 組み合わせと確率 10 24 確率変数と確率分布 10 31 代表的な確率分布 Ppt Download

期待値と分散 E Ax B Ae X B E X Y E X E Y Ppt Video Online Download

期待値と分散 E Ax B Ae X B E X Y E X E Y Ppt Video Online Download

Source : pinterest.com